-
(1)功能金属-有机框架材料的设计、制备和应用研究 (Design, Synthesis and Application Studies of Functional Metal-Organic Framework Materials)
深度融入金属有机化学于金属-有机框架,运用金属有机化学的结构概念和反应思路设计新式配体组装金属-有机框架材料,将金属有机配合物的优势结合金属-有机框架材料的结构稳定性,并开发新一代具强大应用潜力的金属-有机框架材料。
(2)功能金属有机配合物的设计、反应机理和应用研究 (Design, Reaction Mechanism Elucidation and Application Studies of Functional Organometallics Complexes)
运用d区金属配合物作为平台,进行功能化炔活化反应,制备不同类型有机杂环化合物。此外,我们亦专注于分离催化反应的中间体作为支持反应机理的理据,并将所分离出来的中间体作为新系列的金属有机配合物进行基础和应用研究,务求开发出新类型的功能金属有机配合物。

论文成果:
2020
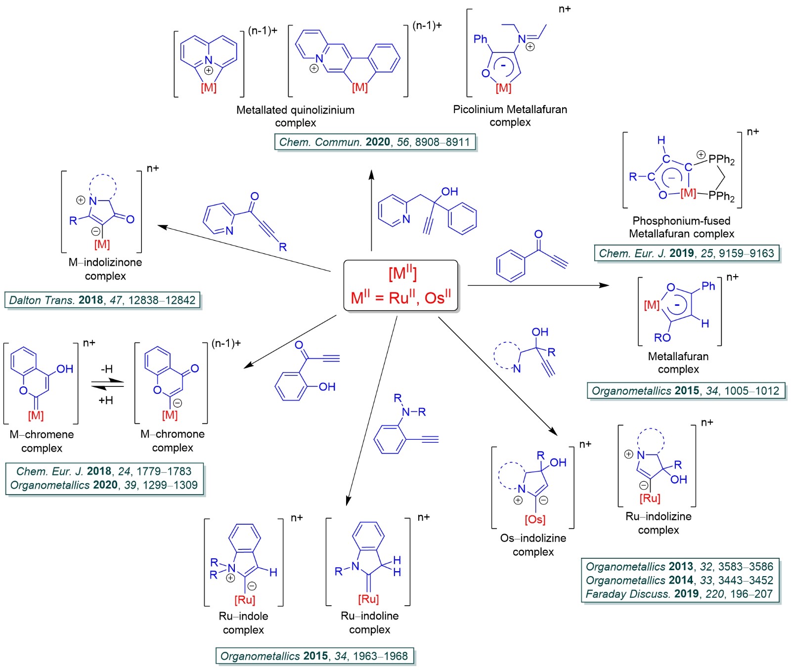
1. Yeung, Chi-Fung#; Chung, Lai-Hon#; Tse, Sheung-Ying; Shek, Hau-Lam; Tse, Man-Kit; Yiu, Shek-Man; Wong, Chun-Yuen* Conventional and Unconventional Alkyne Activation by Ru and Os for Unprecedented Dimetalated Quinolizinium Complexes. Chem. Commun. 2020, 56, 8908–8911.
2. Ng, Sze-Wing; Tse, Sheung-Ying; Yeung, Chi-Fung; Chung, Lai-Hon; Tse, Man-Kit; Yiu, Shek-Man; Wong, Chun-Yuen* Ru(II)- and Os(II)-Induced Cycloisomerization of Phenol-Tethered Alkyne for Functional Chromene and Chromone Complexes. Organometallics 2020, 39, 1299–1309.
3. Chung, Lai-Hon; Yeung, Chi-Fung; Wong, Chun-Yuen* Ruthenium-Induced Cyclization of Heteroatom-Functionalized Alkynes: Progress, Challenges and Perspectives. Chem. Eur. J. 2020, 26, 6102–6112.
4. Zeng, Qi; Xian, Wan-Ru; Zhong, Yuan-Hui; Chung, Lai-Hon; Liao, Wei-Ming*; He, Jun* Highly Enhanced Hydrated Proton Conductivity by Combination of Post-Synthetic Oxidation and Acidification in a Zirconium-Organic Framework. J. Solid State Chem. 2020, 285, 121234.
2019
1. Chung, Lai-Hon; Yeung, Chi-Fung; Shek, Hau-Lam; Wong, Chun-Yuen* Isolation of a C3-metalated Indolizine Complex and a Phosphonium Ring-fused Bicyclic Metallafuran from the Osmium-induced Transformation of Pyridine-Tethered Alkynes. Faraday Discuss. 2019, 220, 196–207.
2. Yeung, Chi-Fung#; Chung, Lai-Hon#; Ng, Sze-Wing; Shek, Hau-Lam; Tse, Sheung-Ying; Chan, Siu-Chung; Tse, Man-Kit; Yiu, Shek-Man; Wong, Chun-Yuen* Phosphonium Ring-Fused Bicyclic Metallafuran Complexes of Ruthenium and Osmium. Chem. Eur. J. 2019, 25, 9159–9163.
3. Chung, Lai-Hon; Wong, Chun-Yuen* Ruthenium-Induced Alkyne Cycloisomerization: Construction of Metalated Heterocycles, Revelation of Unconventional Reaction Pathways, and Exploration of Functional Applications. Chem. Eur. J. 2019, 25, 2889–2897.
2018
1. Chung, Lai-Hon#; Ng, Sze-Wing#; Yeung, Chi-Fung; Shek, Hau-Lam; Lo, Hoi-Shing; Chan, Siu-Chung; Tse, Man-Kit; Yiu, Shek-Man; Wong, Chun-Yuen* Ruthenium-indolizinone Complexes as a New Class of Metalated Heterocyclic Compounds: Insight into Unconventional Alkyne Activation Pathways, Revelation of Unexpected Electronic Properties and Exploration of Medicinal Application. Dalton Trans. 2018, 47, 12838–12842.
2. Ng, Sze-Wing#; Chung, Lai-Hon#; Yeung, Chi-Fung; Lo, Hoi-Shing; Shek, Hau-Lam; Kang, Tian-Shu; Leung, Chung-Hang; Ma, Dik-Lung; Wong, Chun-Yuen* Metalated Chromene and Chromone Complexes: pH Switchable Metal-Carbon Bonding Interaction, Photo-triggerable Chromone Delivery Application, and Antioxidative Activity. Chem. Eur. J. 2018, 24, 1779–1783.
2015
1. Chung, Lai-Hon; Lo, Hoi-Shing; Ng, Sze-Wing; Ma, Dik-Lung; Leung, Chung-Hang; Wong, Chun-Yuen* Luminescent Iridium(III) Complexes Supported by N-Heterocyclic Carbene-based C^C^C-Pincer Ligands and Aromatic Diimines. Sci. Rep. 2015, 5, 15394.
2. Wong, Chun-Yuen*; Chung, Lai-Hon; Lu, Lihua; Wang, Modi; He, Bingyong; Liu, Li-Juan; Leung, Chung-Hang*; Ma, Dik-Lung* Dual Inhibition and Monitoring of Beta-Amyloid Fibrillation by a Luminescent Iridium(III) Complex. Curr. Alzheimer. Res. 2015, 12, 439–444.
3. Yeung Chi-Fung#; Chung, Lai-Hon#; Lo, Hoi-Shing; Chiu, Chun-Hong; Cai, Jialin; Wong, Chun-Yuen* Isolation of Ruthenium-Indoline and -Indole Zwitterion Complexes: Insight into the Metal-Induced Cyclization of Aniline-Tethered Alkynes and Strategy to Lower the Activation Barrier of Metal-Vinylidene Formation. Organometallics 2015, 34, 1963–1968.
4. Tsui, Wai-Kuen#; Chung, Lai-Hon#; Wong, Matthew Man-Kin; Tsang, Wai-Him; Lo, Hoi-Shing; Liu, Yaxiang; Leung, Chung-Hang; Ma, Dik-Lung; Chiu, Sung-Kay*; Wong, Chun-Yuen* Luminescent Ruthenium(II) Complex Bearing Bipyridine and N-Heterocyclic Carbene-based C^N^C Pincer Ligand for Live-Cell Imaging of Endocytosis. Sci. Rep. 2015, 5, 9070.
5. Tsui, Wai-Kuen#; Chung, Lai-Hon#; Tsang, Wai-Him; Yeung Chi-Fung; Chiu, Chun-Hong; Lo, Hoi-Shing; Wong, Chun-Yuen* Synthesis, Spectroscopic and Theoretical Studies of Ruthenafuran and Osmafuran Prepared by Activation of Ynone in Alcohol. Organometallics 2015, 34, 1005–1012.
2014
1. Wong, Chun-Yuen*; Chung, Lai-Hon; Lin, Sheng; Chan, Daniel Shiu-Hin; Leung, Chung-Hang; Ma, Dik-Lung* A Ruthenium(II) Complex Supported by Trithiacyclononane and Aromatic Diimine Ligand as Luminescent Switch-On Probe for Biomolecule Detection and Protein Staining. Sci. Rep. 2014, 4, 7136.
2. Chung, Lai-Hon; Yeung, Chi-Fung; Ma, Dik-Lung; Leung, Chung-Hang; Wong, Chun-Yuen* Metal-Indolizine Zwitterion Complexes as a New Class of Organometallic Material: a Spectroscopic and Theoretical Investigation. Organometallics 2014, 33, 3443–3452.
2013
1. Chung, Lai-Hon; Cho, Ka-Sin; England Jason; Chan, Siu-Chung; Wieghardt Karl; Wong, Chun-Yuen* Ruthenium(II) and Osmium(II) Complexes Bearing Bipyridine and the N-Heterocyclic Carbene-Based C^N^C Pincer Ligand: An Experimental and Density Functional Theory Study. Inorg. Chem. 2013, 52, 9885–9896.
2. Chung, Lai-Hon; Wong, Chun-Yuen* Isolation of Ruthenium-Indolizine Complexes: Insight into the Metal-Induced Cycloisomerization of Propargylic Pyridines. Organometallics 2013, 32, 3583–3586.
3. Ma, Dik-Lung*; Zhong, Hai-Jing; Fu, Wai-Chung; Chan, Daniel Shiu-Hin; Kwan, Hiu-Yee; Fong, Wang-Fun; Chung, Lai-Hon; Wong, Chun-Yuen; Leung, Chung-Hang Phosphorescent Imaging of Living Cells Using a Cyclometalated Iridium(III) Complex. PLoS ONE 2013, 8, e55751.
2012
1. Chung, Lai-Hon; Cho, Ka-Sin; England Jason; Chan, Siu-Chung; Wieghardt Karl; Wong, Chun-Yuen* Emissive Osmium(II) Complexes Supported by N-Heterocyclic Carbene-based C^C^C-Pincer Ligands and Aromatic Diimines. Inorg. Chem. 2012, 51, 8693–8703.
2010
1. Wong, Chun-Yuen*; Lai, Lo-Ming; Pat, Pak-Kei; Chung, Lai-Hon Osmium Complexes Containing N-Heterocyclic Carbene-Based C,N,C-Pincer Ligands. Organometallics 2010, 29, 2533–2539.
#为共同第一作者
- 暂无内容
- 暂无内容
- 暂无内容
- 暂无内容
